The methodology of this project is based on this paper by Google, but is applied to a more complicated, real-world setting, where 1) there are 13 media channels and 46 control variables; 2) models are built in a stacked way.
Marketing Mix Model, or Media Mix Model (MMM) is used by advertisers to measure how their media spending contributes to sales, so as to optimize future budget allocation. ROAS (return on ad spend) and mROAS (marginal ROAS) are the key metrics to look at. High ROAS indicates the channel is efficient, high mROAS means increasing spend in the channel will yield a high return based on current spending level.
Procedures
-
Fit a regression model with priors on coefficients, using media channels' impressions (or spending) and control variables to predict sales;
-
Decompose sales to each media channel's contribution. Channel contribution is calculated by comparing original sales and predicted sales upon removal of the channel;
-
Compute ROAS and mROAS using channel contribution and spending.
โ
Intuition of MMM
- Offline channel's influence is hard to track. E.g., a customer saw a TV ad, and made a purchase at store.
- Media channels' influences are intertwined.
Actual Customer Journey: Multiple Touchpoints
A customer saw a product on TV > clicked on a display ad > clicked on a paid seach ad > made a purchase of $30. In this case, 3 touchpoints contributed to the conversion, and they should all get credits for this conversion.
โ
What's trackable: Last Digital Touchpoint
Usually, only the last digital touchpoint can be tracked. In this case, SEM, and it will get all credits for this conversion.
So, a good attribution model should take into account all the relevant variables leading to conversion.
โ
Since media channels work interactively, a multiplicative model structure is adopted:
Take log of both sides, we get the linear form (log-log model):
Constraints on Coefficients
-
Media coefficients are positive.
-
Control variables like discount, macro economy, event/retail holiday are expected to have positive impact on sales, their coefficients should also be positive.
โ
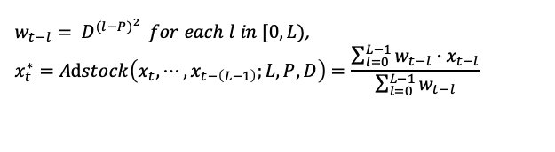
Media effect on sales may lag behind the original exposure and extend several weeks. The carry-over effect is modeled by Adstock:
L: length of the media effect
P: peak/delay of the media effect, how many weeks it's lagging behind first exposure
D: decay/retention rate of the media channel, concentration of the effect
The media effect of current weeks is a weighted average of current week and previous (Lโ 1) weeks.
โ
Adstock with Varying Decay
The larger the decay, the more scattered the effect.
Adstock with Varying Length
The impact of length is relatively minor. In model training, length could be fixed to 8 weeks or a period long enough for the media effect to finish.
import numpy as np
import pandas as pd
def apply_adstock(x, L, P, D):
'''
params:
x: original media variable, array
L: length
P: peak, delay in effect
D: decay, retain rate
returns:
array, adstocked media variable
'''
x = np.append(np.zeros(L-1), x)
weights = np.zeros(L)
for l in range(L):
weight = D**((l-P)**2)
weights[L-1-l] = weight
adstocked_x = []
for i in range(L-1, len(x)):
x_array = x[i-L+1:i+1]
xi = sum(x_array * weights)/sum(weights)
adstocked_x.append(xi)
adstocked_x = np.array(adstocked_x)
return adstocked_xAfter a certain saturation point, increasing spend will yield diminishing marginal return, the channel will be losing efficiency as you keep overspending on it. The diminishing return is modeled by Hill function:
K: half saturation point
S: slope
Hill function with varying K and S
โ
def hill_transform(x, ec, slope):
return 1 / (1 + (x / ec)**(-slope))Four years' (209 weeks) records of sales, media impression and media spending at weekly level.
1. Media Variables
- Media Impression (prefix='mdip_'): impressions of 13 media channels: direct mail, insert, newspaper, digital audio, radio, TV, digital video, social media, online display, email, SMS, affiliates, SEM.
- Media Spending (prefix='mdsp_'): spending of media channels.
2. Control Variables
- Macro Economy (prefix='me_'): CPI, gas price.
- Markdown (prefix='mrkdn_'): markdown/discount.
- Store Count ('st_ct')
- Retail Holidays (prefix='hldy_'): one-hot encoded.
- Seasonality (prefix='seas_'): month, with Nov and Dec further broken into to weeks. One-hot encoded.
3. Sales Variable ('sales')
df = pd.read_csv('data.csv')
# 1. media variables
# media impression
mdip_cols=[col for col in df.columns if 'mdip_' in col]
# media spending
mdsp_cols=[col for col in df.columns if 'mdsp_' in col]
# 2. control variables
# macro economics variables
me_cols = [col for col in df.columns if 'me_' in col]
# store count variables
st_cols = ['st_ct']
# markdown/discount variables
mrkdn_cols = [col for col in df.columns if 'mrkdn_' in col]
# holiday variables
hldy_cols = [col for col in df.columns if 'hldy_' in col]
# seasonality variables
seas_cols = [col for col in df.columns if 'seas_' in col]
base_vars = me_cols+st_cols+mrkdn_cols+va_cols+hldy_cols+seas_cols
# 3. sales variables
sales_cols =['sales']The model is built in a stacked way. Three models are trained:
โ
Goal: predict base sales (X_ctrl) as an input variable to MMM, this represents the baseline sales trend without any marketing activities.
X1: control variables positively related with sales, including macro economy, store count, markdown, holiday.
X2: control variables that may have either positive or negtive impact on sales: seasonality.
Target variable: ln(sales).
The variables are centralized by mean.
โ
import pystan
import os
os.environ['CC'] = 'gcc-10'
os.environ['CXX'] = 'g++-10'
# mean-centralize: sales, numeric base_vars
df_ctrl, sc_ctrl = mean_center_trandform(df, ['sales']+me_cols+st_cols+mrkdn_cols)
df_ctrl = pd.concat([df_ctrl, df[hldy_cols+seas_cols]], axis=1)
# variables positively related to sales: macro economy, store count, markdown, holiday
pos_vars = [col for col in base_vars if col not in seas_cols]
X1 = df_ctrl[pos_vars].values
# variables may have either positive or negtive impact on sales: seasonality
pn_vars = seas_cols
X2 = df_ctrl[pn_vars].values
ctrl_data = {
'N': len(df_ctrl),
'K1': len(pos_vars),
'K2': len(pn_vars),
'X1': X1,
'X2': X2,
'y': df_ctrl['sales'].values,
'max_intercept': min(df_ctrl['sales'])
}
ctrl_code1 = '''
data {
int N; // number of observations
int K1; // number of positive predictors
int K2; // number of positive/negative predictors
real max_intercept; // restrict the intercept to be less than the minimum y
matrix[N, K1] X1;
matrix[N, K2] X2;
vector[N] y;
}
parameters {
vector<lower=0>[K1] beta1; // regression coefficients for X1 (positive)
vector[K2] beta2; // regression coefficients for X2
real<lower=0, upper=max_intercept> alpha; // intercept
real<lower=0> noise_var; // residual variance
}
model {
// Define the priors
beta1 ~ normal(0, 1);
beta2 ~ normal(0, 1);
noise_var ~ inv_gamma(0.05, 0.05 * 0.01);
// The likelihood
y ~ normal(X1*beta1 + X2*beta2 + alpha, sqrt(noise_var));
}
'''
sm1 = pystan.StanModel(model_code=ctrl_code1, verbose=True)
fit1 = sm1.sampling(data=ctrl_data, iter=2000, chains=4)
fit1_result = fit1.extract()MAPE of control model: 8.63%
Extract control model parameters from the fit object and predict base sales -> df['base_sales']
Goal:
- Find appropriate adstock parameters for media channels;
- Decompose sales to media channels' contribution (and non-marketing contribution).
L: length of media impact
P: peak of media impact
D: decay of media impact
X: adstocked media impression variables and base sales
Target variable: ln(sales)
Variables are centralized by mean.
df_mmm, sc_mmm = mean_log1p_trandform(df, ['sales', 'base_sales'])
mu_mdip = df[mdip_cols].apply(np.mean, axis=0).values
max_lag = 8
num_media = len(mdip_cols)
# padding zero * (max_lag-1) rows
X_media = np.concatenate((np.zeros((max_lag-1, num_media)), df[mdip_cols].values), axis=0)
X_ctrl = df_mmm['base_sales'].values.reshape(len(df),1)
model_data2 = {
'N': len(df),
'max_lag': max_lag,
'num_media': num_media,
'X_media': X_media,
'mu_mdip': mu_mdip,
'num_ctrl': X_ctrl.shape[1],
'X_ctrl': X_ctrl,
'y': df_mmm['sales'].values
}
model_code2 = '''
functions {
// the adstock transformation with a vector of weights
real Adstock(vector t, row_vector weights) {
return dot_product(t, weights) / sum(weights);
}
}
data {
// the total number of observations
int<lower=1> N;
// the vector of sales
real y[N];
// the maximum duration of lag effect, in weeks
int<lower=1> max_lag;
// the number of media channels
int<lower=1> num_media;
// matrix of media variables
matrix[N+max_lag-1, num_media] X_media;
// vector of media variables' mean
real mu_mdip[num_media];
// the number of other control variables
int<lower=1> num_ctrl;
// a matrix of control variables
matrix[N, num_ctrl] X_ctrl;
}
parameters {
// residual variance
real<lower=0> noise_var;
// the intercept
real tau;
// the coefficients for media variables and base sales
vector<lower=0>[num_media+num_ctrl] beta;
// the decay and peak parameter for the adstock transformation of
// each media
vector<lower=0,upper=1>[num_media] decay;
vector<lower=0,upper=ceil(max_lag/2)>[num_media] peak;
}
transformed parameters {
// the cumulative media effect after adstock
real cum_effect;
// matrix of media variables after adstock
matrix[N, num_media] X_media_adstocked;
// matrix of all predictors
matrix[N, num_media+num_ctrl] X;
// adstock, mean-center, log1p transformation
row_vector[max_lag] lag_weights;
for (nn in 1:N) {
for (media in 1 : num_media) {
for (lag in 1 : max_lag) {
lag_weights[max_lag-lag+1] <- pow(decay[media], (lag - 1 - peak[media]) ^ 2);
}
cum_effect <- Adstock(sub_col(X_media, nn, media, max_lag), lag_weights);
X_media_adstocked[nn, media] <- log1p(cum_effect/mu_mdip[media]);
}
X <- append_col(X_media_adstocked, X_ctrl);
}
}
model {
decay ~ beta(3,3);
peak ~ uniform(0, ceil(max_lag/2));
tau ~ normal(0, 5);
for (i in 1 : num_media+num_ctrl) {
beta[i] ~ normal(0, 1);
}
noise_var ~ inv_gamma(0.05, 0.05 * 0.01);
y ~ normal(tau + X * beta, sqrt(noise_var));
}
'''
sm2 = pystan.StanModel(model_code=model_code2, verbose=True)
fit2 = sm2.sampling(data=model_data2, iter=1000, chains=3)
fit2_result = fit2.extract()Distribution of Media Coefficients
red line: mean, green line: median
Each media channel's contribution = total sales - sales upon removal of the channel
In the previous model fitting step, parameters of the log-log model have been found:
Plug them into the multiplicative model:
# decompose sales to media contribution
mc_df = mmm_decompose_media_contrib(mmm, df, y_true=df['sales_ln'])
adstock_params = mmm['adstock_params']
mc_pct, mc_pct2 = calc_media_contrib_pct(mc_df, period=52)RMSE (log-log model): 0.04977
MAPE (multiplicative model): 15.71%
Adstock Parameters
{'dm': {'L': 8, 'P': 0.8147057071636012, 'D': 0.5048365638721349},
'inst': {'L': 8, 'P': 0.6339321363933637, 'D': 0.40532404247040194},
'nsp': {'L': 8, 'P': 1.1076944292039324, 'D': 0.4612905130128658},
'auddig': {'L': 8, 'P': 1.8834110997525702, 'D': 0.5117823761413419},
'audtr': {'L': 8, 'P': 1.9892680621155827, 'D': 0.5046141055524362},
'vidtr': {'L': 8, 'P': 0.05520253973872224, 'D': 0.0846136627657064},
'viddig': {'L': 8, 'P': 1.862571613911107, 'D': 0.5074553132446618},
'so': {'L': 8, 'P': 1.7027472358912694, 'D': 0.5046386226501091},
'on': {'L': 8, 'P': 1.4169662215350334, 'D': 0.4907407637366824},
'em': {'L': 8, 'P': 1.0590065753144235, 'D': 0.44420264450045377},
'sms': {'L': 8, 'P': 1.8487648735160152, 'D': 0.5090970201714644},
'aff': {'L': 8, 'P': 0.6018657109295106, 'D': 0.39889023002777724},
'sem': {'L': 8, 'P': 1.34945185610011, 'D': 0.47875793676213835}}Notes:
- For SEM, P=1.3, D=0.48 does not make a lot of sense to me, because SEM is expected to have immediate and concentrated impact (P=0, low decay). Same with online display.
- Try more specific priors in future model.
โ
Goal: for each channel, find the relationship (fit a Hill function) between spending and contribution, so that ROAS and marginal ROAS can be calculated.
x: adstocked media channel spending
K: half saturation
S: shape
Target variable: the media channel's contribution
Variables are centralized by mean.
def create_hill_model_data(df, mc_df, adstock_params, media):
y = mc_df['mdip_'+media].values
L, P, D = adstock_params[media]['L'], adstock_params[media]['P'], adstock_params[media]['D']
x = df['mdsp_'+media].values
x_adstocked = apply_adstock(x, L, P, D)
# centralize
mu_x, mu_y = x_adstocked.mean(), y.mean()
sc = {'x': mu_x, 'y': mu_y}
x = x_adstocked/mu_x
y = y/mu_y
model_data = {
'N': len(y),
'y': y,
'X': x
}
return model_data, sc
model_code3 = '''
functions {
// the Hill function
real Hill(real t, real ec, real slope) {
return 1 / (1 + (t / ec)^(-slope));
}
}
data {
// the total number of observations
int<lower=1> N;
// y: vector of media contribution
vector[N] y;
// X: vector of adstocked media spending
vector[N] X;
}
parameters {
// residual variance
real<lower=0> noise_var;
// regression coefficient
real<lower=0> beta_hill;
// ec50 and slope for Hill function of the media
real<lower=0,upper=1> ec;
real<lower=0> slope;
}
transformed parameters {
// a vector of the mean response
vector[N] mu;
for (i in 1:N) {
mu[i] <- beta_hill * Hill(X[i], ec, slope);
}
}
model {
slope ~ gamma(3, 1);
ec ~ beta(2, 2);
beta_hill ~ normal(0, 1);
noise_var ~ inv_gamma(0.05, 0.05 * 0.01);
y ~ normal(mu, sqrt(noise_var));
}
'''
# train hill models for all media channels
sm3 = pystan.StanModel(model_code=model_code3, verbose=True)
hill_models = {}
to_train = ['dm', 'inst', 'nsp', 'auddig', 'audtr', 'vidtr', 'viddig', 'so', 'on', 'sem']
for media in to_train:
print('training for media: ', media)
hill_model = train_hill_model(df, mc_df, adstock_params, media, sm3)
hill_models[media] = hill_modelDiminishing Return Model (Fitted Hill Curve)
- Overall ROAS = total media contribution / total media spending
- Weekly ROAS = weekly media contribution / weekly media spending
Distribution of Weekly ROAS (Recent 1 Year)
red line: mean, green line: median
Marginal ROAS represents the return of incremental spending based on current spending. For example, I've spent $100 on SEM, how much will the next $1 bring.
mROAS is calculated by increasing the current spending level by 1%, the incremental channel contribution over incremental channel spending.
- Current spending level
cur_spis an array of weekly spending in a given period.
Next spending levelnext_spis increasingcur_spby 1%. - Plug
cur_spandnext_spinto the Hill function:
Current media contributioncur_mc= beta * Hill(cur_sp)
Next-level media contributionnext_mc= beta * Hill(next_sp) - mROAS = (sum(
next_mc) - sum(cur_mc)) / sum(0.01 *cur_sp)
Media Channel Contribution
80% sales are contributed by non-marketing factors, marketing channels contributed 20% sales.
Top contributors: TV, affiliates, SEM
ROAS
High ROAS: TV, insert, online display
mROAS
High mROAS: TV, insert, radio, online display
Note: trivial channels: newspaper, digital audio, digital video, social (spending/impression too small to be qualified, so that their results are not trustworthy).
Please check this running list of FAQ. If you have questions, comments, suggestions, and practical problems (when applying this script to your datasets) that are unaddressed in this list, feel free to open a discussion. You may also comment on my Medium article.
For bugs/errors in code, please open an issue. An issue is expected to be addressed in the following weekend.
[1] Bayesian Methods for Media Mix Modeling with Carryover and Shape Effects. https://static.googleusercontent.com/media/research.google.com/en//pubs/archive/46001.pdf
[2] STAN tutorials:
Prior Choice Recommendations. https://github.com/stan-dev/stan/wiki/Prior-Choice-Recommendations
Pystan Documentation. https://www.cnpython.com/pypi/pystan
Pystan Workflow. https://mc-stan.org/users/documentation/case-studies/pystan_workflow.html
A quick-start introduction to Stan for economists. https://nbviewer.jupyter.org/github/QuantEcon/QuantEcon.notebooks/blob/master/IntroToStan_basics_workflow.ipynb
HMC sampling. https://education.illinois.edu/docs/default-source/carolyn-anderson/edpsy590ca/lectures/9-hmc-and-stan/hmc_n_stan_post.pdf
If you like this project, please leave a ๐ for motivation:)


























